シーザー暗号について シーザー暗号は、文章の文字を他の文字に置換することで暗号化する単一換字式暗号のひとつです。 文字の置換は、「A」から「Z」までの文字を「ABCDEFGHIJKLMNOPQRSTUVWXYZ」の26文字の中で左または右にシフトさせることで行います。 例えば、左に3文字シフトする場合は「A」は「D」、「Z」は「C」に暗号化されます。 暗号化前暗号作成 1.暗号文選択から方法 を選択「クリック」する 2.キーワード数値を入力 する 3.「原文」に暗号化する 文章を入力する 4.「暗号文作成」をクリック 暗号文が作成される29/8/15 C言語:シーザー暗号を解読 Raw codeiq_masuic This file contains bidirectional Unicode text that may be interpreted or compiled differently than what appears below To review, open the file in an editor that reveals hidden Unicode characters Learn more about

今更始めるシーザー暗号 とよ Blackx Note
シーザー暗号 ツール
シーザー暗号 ツール-Cipher encrypter / decrypter eg Caesar / ROT / and many other formats!シーザー暗号解析ツール(PROG3) Contribute to tkhsry/tiny_crypt development by creating an account on GitHub




シーザー暗号 が簡単に解けちゃう オンライン暗号ホイール を使ってみよう
カエサル暗号とは紀元前50~60年にローマで作られたとされる、暗号理論上もっともシンプルで、広く知られた暗号のひとつで、 シーザー暗号 、シフト暗号ともいう。 名前から推察される通り有名なのローマ皇帝カエサルまたはシーザーが考案した暗号と言われています。 この暗号は、全ての文字を同じだけ「あいうえお順」「いろは順」「アルファベット順」にシーザー暗号をExcelで作る シーザー暗号(Caesar cipher)は、単一換字式暗号の一種で、暗号化する元の文章、すなわち、「平文」の文字を特定の文字だけシフトして暗号文をつくる暗号です。 この暗号を自動作成するExcelシートを公開します。 シーザー暗号は、カエサル・シフト暗号(サイファー)とも呼ばれています。 そう、「ブルータス、お前もか」で知られる暗号入門講座 私のハンドル名の cipher とは暗号のことです。パソコン通信を始めたときハンドル名をなんと付けようかと考え,一般の人が使わないような言葉にしようと思い,私の修士論文のテーマであった暗号化理論から名付けました。
githubcom シーザー暗号(シフト暗号) シーザー暗号は単一換字式暗号の一種です。アルファベット表を 3文字ずらす ことによって暗号文を作る暗号です。 ひっくるめて、文字をシフトさせて暗号文を作ることから、シフト暗号と言った方が分かりやすいでしょうか。17/9/13 シーザー暗号 "シーザー暗号" は紀元前1世紀ごろの古代ローマで、武将ジュリアス・シーザーが使っていたといわれる暗号です。 単純な暗号であり、平文で使われている文字(例えばアルファベットなど)を "ずらす(シフト)" することによって暗号化を行います。文字 (列) の出現頻度を分析します。 単一換字式暗号の解読時の作業で使用することを想定してします。 単一換字式暗号は解読してもらうことを前提としている比較的難易度の低い暗号でありながら、 実際の解読作業には意外と手間がかかるものです
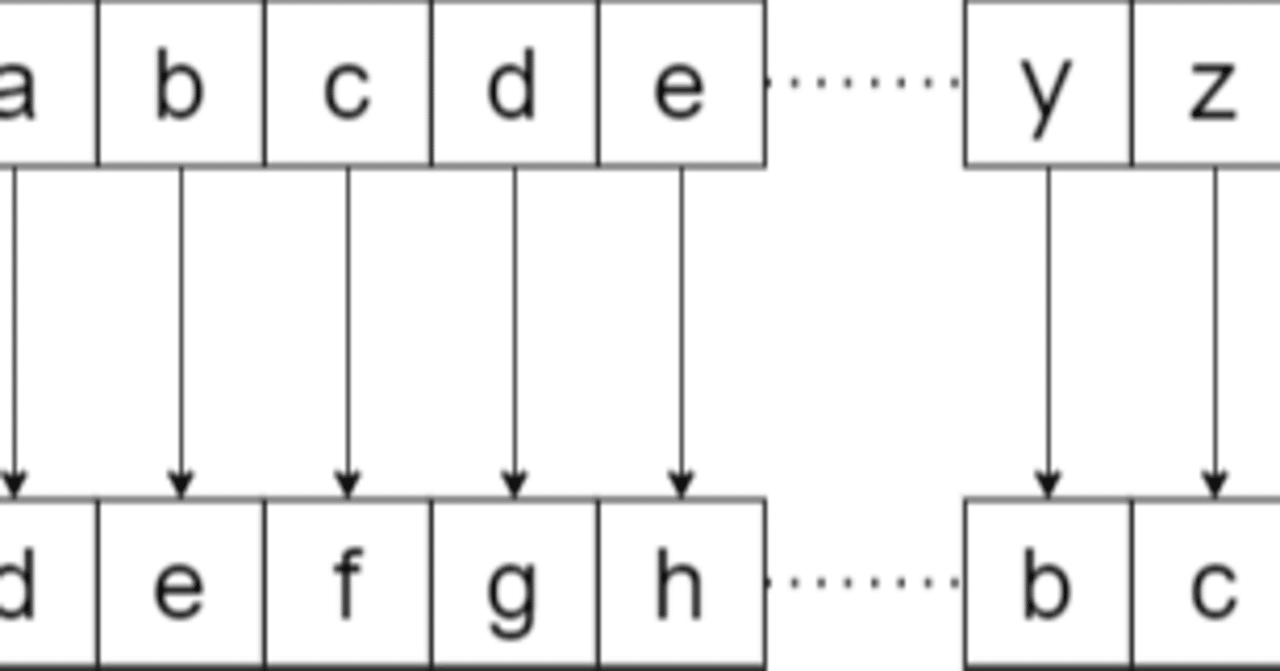
Click wheel to rotate A B C D E F G H I J K L M N O P Q R S T U V W X Y Zシーザー暗号盤 円盤をある数だけ回転さ せるとシーザー暗号の対 応表ができる. 暗号文を平文に直すとき には逆にすれよい. アメリカの南北戦争時代 に使われた暗号盤25/7/18 シーザー暗号とは、平文の各文字をアルファベット表で数文字分シフトして作成した暗号のことである。 例)LAB → ODE (3文字シフト) 古代ローマの軍事的指導者ガイウス・ユリウス・カエサル(英語読みでシーザー)が使用したことからこの名がついた。




人気ダウンロード シーザー暗号 解析 シーザー暗号 解析ツール Blogjpmbahe8x6m




人気ダウンロード シーザー暗号 解析 シーザー暗号 解析ツール Blogjpmbahe8x6m
シーザー暗号解読機 シーザー暗号解読機 解読するにはテキストボックスに暗号文を小文字で入力してください。 暗号文の最後まで入力したら、追加で一文字入力してください。 エンターキーを押すとリセットします。シーザー(Caesar)暗号 入力した文章(平文)をシーザー暗号で暗号化・復号化します。(入力はアルファベットでお願いします) シフト: シーザー暗号で暗号化 平文:9/2/09 暗号文を解読するソフトもしくはツールを探しています。 元の暗号文はアルファベット30文字程度のスペースを含む文章と思われます。 シーザー暗号ではないことは総当りで確認しています。 頻度分布からあたりをつけて、意味のある単語を検索し文章を解読するようなツールはないでしょうか? 回答の条件 URL必須 1人2回まで 登録:




人気ダウンロード シーザー暗号 解析 シーザー暗号 解析ツール Blogjpmbahe8x6m




しなってるシナリオ Syoki Fnt Twitter
シーザー暗号に 限らない 換字式暗号なら、鍵が 400x1兆x1兆 (四百しorじょ禾扁に予) 総当たりでは解けない;USBメモリのデータをパスワードで保護する/使えるセキュリティツール (公開 9,014K) EncSecure Lite 1012c 《レビュー》 ドラッグ&ドロップだけの簡単操作でファイルを強力に暗号化!暗号理論の入門として、シーザー暗号をPythonで実装します。 平文の全ての文字を特定文字数ずつシフトすることで、暗号文を作成します。 復号の際は、逆方向にシフトすることで平文を作成する。 実装 暗号化 例として、3文字文シフトして暗号文を作成する。




シーザー暗号 Wikipedia



1
暗号の方式と鍵 スキュタレー暗号 何文字で一周するスキュタレーを使うか;シーザー(Caesar)暗号 ~50音・ひらがな・カタカナ版~ 入力した文章(平文)をシーザー暗号で暗号化・復号化します。 入力は全角/半角のひらがな・カタカナでお願いします。 それら以外は変換せず出力します。 変換中に小さい文字は大きくしてABCDEFGHIJKLMNOPQRSTUVWXYZ ABCDEFGHIJKLMNOPQRSTUVWXYZ 単一換字暗号 復号化 ABCDEFGHIJKLMNOPQRSTUVWXYZ ABCDEFGHIJKLMNOPQRSTUVWXYZ




人気ダウンロード シーザー暗号 解析 シーザー暗号 解析ツール Blogjpmbahe8x6m




簡易難読化のためにjavascriptでシーザー暗号 日本語対応 を実装する 太陽がまぶしかったから
圧縮ファイル 頻度解析を行うと0x00~0xffの値はほぼ均一に 04%程度 シーザー暗号 意味不明な文字列かつ英数字以外の文字がそれなりに英語の文章っぽい暗号化 1・暗号化したいパスワードを左のテキストエリアに入力します。 2・暗号パスワードを入れて「暗号化→」ボタンを押します。 3・左側のテキストエリアに表示された暗号をコピーし、メールな どに貼り付けて送信します。任意の文字セットで、任意の文字数ずらすrot nツールです。 「自由度の高いrot n」と思ってください。 いろは順・50音順でのrot nも実行できます。 シーザー暗号あるいはシフト暗号と呼ばれる処理の




有名な換字式暗号をまとめてみた おでかけ同好会




シーザー暗号を自動作成するシートを作ってみる Excelシート公開
14/8/ 暗号文 fsdz{Fdhvdu_flskhu_lv_fodvvlfdo_flskhu} 引用:CpawCTF 「シーザー暗号」は、ほとんどの CTF で出題される暗号化方式 です。 文字数をずらすだけの簡単なものですが、 他の暗号方式と組み合わせるだけで安全性が飛躍的に向上します 。 C言語を使って解いてみる! 暗号文 解読 ツール 4 18 November, / 1 / 0 一つ目 2つ目 JavaScriptが無効です。ブラウザの設定でJavaScriptを有効にしてください。JavaScriptを有効にするには, 暗号を解読するソフトはありますか?送る Pocket シーザー暗号というものをご存知でしょうか。 平文の各文字を、n文字分シフトさせて作る暗号です。 例えば、"hello"という文字列を1文字シフトさせると"ifmmp"になります。 1文字ぐらいなら頭の中で計算できますが、13文字分ずらすといった処理は面倒ですよね。 シーザー暗号の中でも、シフト数を13にした方式はROT13として有名です




書評 暗号解読 名探偵コナンや推理小説の暗号を自分で解いてみたい方向けのツール おカネとホンとタビのはなし



シーザー暗号 Caesar Cipher
暗号を振り返る ――その2 単一換字式暗号 パーソルテクノロジースタッフの「Zライダー」です。 前回は「シーザー暗号」と呼ばれる暗号を紹介しました。 シーザー暗号は確保できる「鍵空間」があまりに小さく、暗号アルゴリズムも単純なため、紙と28/9/15 シーザー暗号化/復号化ツール(日本語対応) シーザー暗号による簡易難読化スクリプト シーザー暗号(シーザーあんごう、英語:Caesar cipher)は、単一換字式暗号の一種で、平文の各文字を辞書順に3文字だけシフトして暗号文をつくる暗号である。



1




人気のヒラメキ系から話題のヒエログリフまで 仕掛けいっぱい18の 暗号 ミステリー 新シリーズ 暗号サバイバル学園 第1巻発売 株式会社 学研ホールディングスのプレスリリース




簡易難読化のためにjavascriptでシーザー暗号 日本語対応 を実装する 太陽がまぶしかったから




今更始めるシーザー暗号 とよ Blackx Note




Javascriptを シーザー暗号 で難読化しよう 日経クロステック Xtech




ゼロからはじめてみる日本語プログラミング なでしこ 14 日本語でシーザー暗号を解読してみよう Tech
.jpg)



暗号化と暗号の解読 終わりのない戦い Digicert Com




人とは違う愛の告白にも 今日からすぐに使える暗号文の書き方を調べてみた 株式会社lig




シーザー暗号の復号




ネタバレ注意 Ksnctf 2 シーザー暗号




Pythonでシーザー暗号解読ツールを自作しよう Muroi Log




シーザー暗号 Wikipedia



シーザー暗号 Litchiwaterの日記




シーザー暗号についてわかりやすく解説 Termina Io



Digicert Com



暗号 種類



シーザー暗号 Wikipedia




第1回 暗号化の基本知識 暗号化の仕組み セキュリティコラム シーアイシーシステムズ




暗号とは何か 何であるべきか Think It シンクイット




みかか変換ツール Instant Tools




人気ダウンロード シーザー暗号 解析 シーザー暗号 解析ツール Blogjpmbahe8x6m




Simple Substitution Cipher 単一換字式暗号を実装する Secure443



人気ダウンロード シーザー暗号 解析 シーザー暗号 解析ツール Blogjpmbahe8x6m




pythonでいかにして暗号を破るか スウェイガート アル 著 sweigart al ipusiron 訳 紀伊國屋書店ウェブストア オンライン書店 本 雑誌の通販 電子書籍ストア



猫が寝床で水滴に ヴィジュネル暗号って何ぞや Rainbowvortex




シーザー暗号 が簡単に解けちゃう オンライン暗号ホイール を使ってみよう




シーザー暗号についてわかりやすく解説 Termina Io




人気ダウンロード シーザー暗号 解析 シーザー暗号 解析ツール Blogjpmbahe8x6m



Javaで実装するシーザー暗号 デベルマン



簡易難読化のためにjavascriptでシーザー暗号 日本語対応 を実装する 太陽がまぶしかったから



換字式暗号




ゼロからはじめてみる日本語プログラミング なでしこ 14 日本語でシーザー暗号を解読してみよう Tech




人気ダウンロード シーザー暗号 解析 シーザー暗号 解析ツール Blogjpmbahe8x6m




シーザー暗号を自動作成するシートを作ってみる Excelシート公開




楽しい暗号アルゴリズムの基本 Oliva Blog



最強の暗号機エニグマを解読する方法 ログミーbiz




シーザー暗号 が簡単に解けちゃう オンライン暗号ホイール を使ってみよう



換字式暗号




Pythonでシーザー暗号解読ツールを自作しよう Muroi Log




人気ダウンロード シーザー暗号 解析 シーザー暗号 解析ツール Blogjpmbahe8x6m




ゼロからはじめてみる日本語プログラミング なでしこ 14 日本語でシーザー暗号を解読してみよう Tech




Kazama Mys Others Cryptography シーザー暗号




ゼロからはじめてみる日本語プログラミング なでしこ 14 日本語でシーザー暗号を解読してみよう Tech




シーザー暗号解読器 Ushitora Lab




シーザー暗号化ツール




人気ダウンロード シーザー暗号 解析 シーザー暗号 解析ツール Blogjpmbahe8x6m




シーザー暗号についてわかりやすく解説 Termina Io




カエサル暗号



Yusuke Ando Twitterissa 社情311 Ipアドレス調査は定番の内容 シーザー暗号からの公開鍵暗号の紹介は教える人にとってはやや難度の高い部分か テキストマイニングツールは不明だが実習を想定していそう T Co B8k3cjuqyi Twitter




小学生ok 作り方まで徹底解説 簡単 有名な暗号15種類をクイズ形式で紹介 そう来たか




今更始めるシーザー暗号 とよ Blackx Note




人気ダウンロード シーザー暗号 解析 シーザー暗号 解析ツール Blogjpmbahe8x6m



Vba シーザー暗号を作ってみた T Hom S Diary




ゼロからはじめてみる日本語プログラミング なでしこ 14 日本語でシーザー暗号を解読してみよう Tech




Pythonでシーザー暗号を解読しよう Pythonができること 暗号解読 プログラミングで学ぶセキュリティ Pythonちゃん



ひらがな




シーザー暗号を理解しよう Tesso57 Note



猫が寝床で水滴に ヴィジュネル暗号って何ぞや Rainbowvortex




Simple Substitution Cipher 単一換字式暗号を実装する Secure443




シーザー暗号解読器 Caesarcipherattack




人気のヒラメキ系から話題のヒエログリフまで 仕掛けいっぱい18の 暗号 ミステリー 新シリーズ 暗号サバイバル学園 第1巻発売 株式会社 学研ホールディングスのプレスリリース



シーザー暗号の仕組み




Pythonでシーザー暗号解読ツールを自作しよう Muroi Log




シーザー暗号 が簡単に解けちゃう オンライン暗号ホイール を使ってみよう




シーザー暗号 が簡単に解けちゃう オンライン暗号ホイール を使ってみよう




シーザー暗号 が簡単に解けちゃう オンライン暗号ホイール を使ってみよう




シーザー暗号を自動作成するシートを作ってみる Excelシート公開




人気ダウンロード シーザー暗号 解析 シーザー暗号 解析ツール Blogjpmbahe8x6m




シーザー暗号の暗号化と復号化 カエサル サラダじゃないよっ いずみんブログ




Yusuke Ando 社情311 Ipアドレス調査は定番の内容 シーザー暗号からの公開鍵暗号の紹介は教える人にとってはやや難度の高い部分か テキストマイニングツールは不明だが実習を想定していそう



暗号化の数学的基礎 パートi




暗号技術勉強メモ Qiita




Yusuke Ando 社情311 Ipアドレス調査は定番の内容 シーザー暗号からの公開鍵暗号の紹介は教える人にとってはやや難度の高い部分か テキストマイニングツールは不明だが実習を想定していそう



最強の暗号機エニグマを解読する方法 ログミーbiz




Yusuke Ando 社情311 Ipアドレス調査は定番の内容 シーザー暗号からの公開鍵暗号の紹介は教える人にとってはやや難度の高い部分か テキストマイニングツールは不明だが実習を想定していそう




人気ダウンロード シーザー暗号 解析 シーザー暗号 解析ツール Blogjpmbahe8x6m




人気のヒラメキ系から話題のヒエログリフまで 仕掛けいっぱい18の 暗号 ミステリー 新シリーズ 暗号サバイバル学園 第1巻発売 株式会社 学研ホールディングスのプレスリリース



シーザー暗号 解析ツール シーザー暗号 解析ツール Mbaheblogjptxua




シーザー暗号についてわかりやすく解説 Termina Io



シーザー暗号の仕組み




ゼロからはじめるpython 第81回 Guiで使える簡単ファイル暗号化ツールを作ろう 21年8月18日 Biglobeニュース




人とは違う愛の告白にも 今日からすぐに使える暗号文の書き方を調べてみた 株式会社lig




Python 単一換字式暗号の解読 暗号化の考え方 ソースコード




シーザー暗号 が簡単に解けちゃう オンライン暗号ホイール を使ってみよう



シーザー暗号なお話 もっとコンピュータが好きになるblog




シーザー暗号についてわかりやすく解説 Termina Io




シーザー暗号 が簡単に解けちゃう オンライン暗号ホイール を使ってみよう




シーザー暗号を自動作成するシートを作ってみる Excelシート公開




Yusuke Ando 社情311 Ipアドレス調査は定番の内容 シーザー暗号からの公開鍵暗号の紹介は教える人にとってはやや難度の高い部分か テキストマイニングツールは不明だが実習を想定していそう



古典暗号 一致指数を用いた多表式暗号の解読 ง W ว 暗号楽しいです




シーザー暗号を理解しよう Tesso57 Note




エニグマを実装してみた Qiita
0 件のコメント:
コメントを投稿